Das Rechnen mit negativen Exponenten
Das Rechnen mit Brüchen im Exponenten
Hier findest du zwei Videos, in denen ich Übungsaufgaben ganz ausführlich vorrechne:
Zur ersten Aufgabe Zur zweiten Aufgabe

zu den Lösungen der Aufgaben a bis h

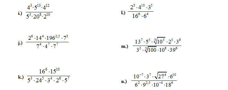
zu den Lösungen der Aufgaben i bis n