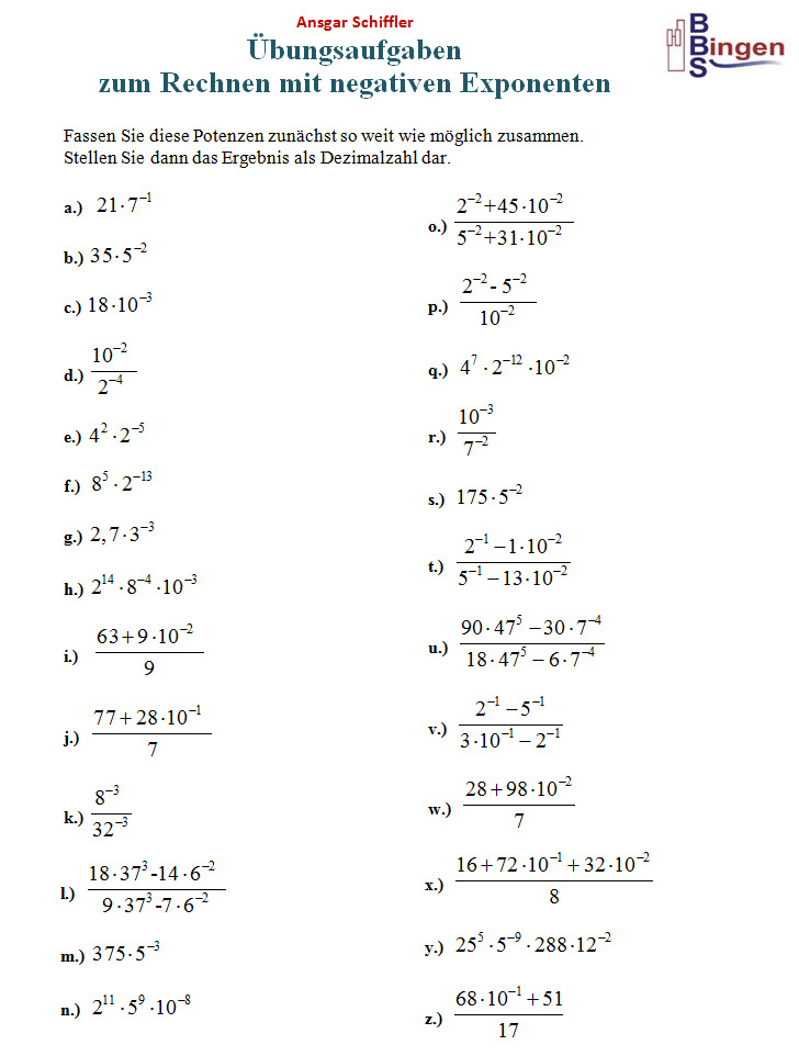
zurück zu 'Übungsaufgaben "Rechnen mit Potenzen"
zu meinem youtube-Video "Rechnen mit negativen Exponenten"

zurück zu 'Übungsaufgaben "Rechnen mit Potenzen"

zu den Lösungen der Aufgabe a bis j
zu den Lösungen der Aufgabe k bis s
zu den Lösungen der Aufgabe t bis z

