zurück zu 'Grundlagen der Mathematik'
zurück zu 'Rechnen mit Brüchen'
mein youtube-Video "Rechnen mit Brüchen"

Zu den Lösungen der Aufgaben a - h

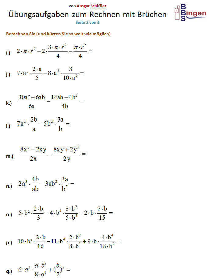
Zu den Lösungen der Aufgaben i - q

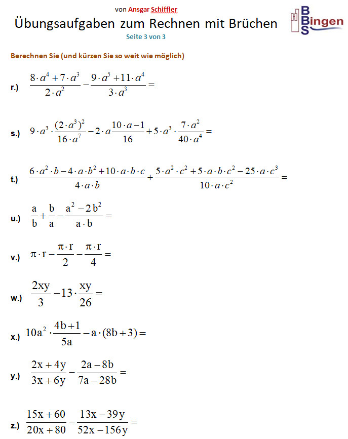
Zu den Lösungen der Aufgaben r - z

zurück zu 'Rechnen mit Brüchen'
zurück zu 'Grundlagen der Mathematik'